Welcome to Geotech!

Principles and Simulation Experiments of Potential Measurement Method
Introduction
This article analyzes the application of high-density electrical method in underground resistivity detection, focusing on comparing the technical characteristics of Centralized and Distributed high-density electrical measurement systems. Field experimental data from Geotech’s equipment verifies the consistency between potential measurement principles and electromagnetic induction laws.

01 Principles of Potential Measurement Method
Electric Field Distribution Characteristics
When using the centralized high-density electrical method, the ground electrode can be regarded as a point current source. According to Coulomb’s law:
E=kr2q
The electric field strength is inversely proportional to the square of the distance and approaches infinity at the point charge. The distributed high-density electrical method can effectively improve this phenomenon by arranging multiple electrodes.
When using Centralized high-density electrical method, grounding electrodes can be regarded as point current sources. According to Coulomb’s law:
E=kr2q
The electric field intensity is inversely proportional to the square of the distance, approaching infinity at the point charge. Distributed high-density electrical method effectively improves this phenomenon through multi-electrode arrangement.
02 Engineering Layout and Data Acquisition
System Architecture Comparison
The experiment uses Geotech’s Centralized HDEM system:
- Maximum 50-channel expansion
- 4G remote monitoring
- Automatic polarization compensation
Compared with Distributed HDEM:
- Modular deployment
- Local intelligent processing
- Networked collaboration
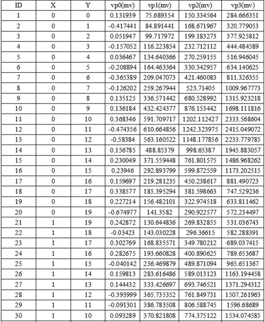
03 Data Analysis and Verification
Potential-Voltage Linearity


Table 2.3 shows that when the supply voltage increases from 100V to 300V, the potential values at each measurement point maintain strict proportional relationship (R²>0.99), verifying the stability of Centralized HDEM measurements.
04 Engineering Application Fields
HDEM technology has been successfully applied in:
- Hydraulic engineering leakage detection (Centralized solution)
- Landfill monitoring (Distributed deployment)
- Cultural relic crack water detection (Hybrid layout)
To learn more about ERT, please go to the following link:
Geotech Products| Geotech Instrument Co., Ltd. (geotechcn.net)
-1.png)


